Stochastic optimization algorithms have revolutionized the way we solve complex optimization problems. Unlike deterministic methods, they embrace randomness—but not blindly.
Instead, their success lies in guided randomness, rather then completely random search the whole solution space, we carefully designed rules steer the search for optimal solutions. So it is useful when the solution space is too large and the system is too complex to be solved by deterministic methods.
In this blog, we’ll explore the core principles behind some popular algorithms like Genetic Algorithms (GA), Ant Colony Optimization (ACO), and Particle Swarm Optimization (PSO) from the perspective of rules and guided randomness.
Stochastic optimization refers to a class of optimization methods that use randomness to search for solutions. The randomness helps:
But the randomness is not completely random—it is guided by rules tailored to the specific algorithm.
At the heart of every stochastic optimization algorithm are rules. These rules:
Inspired by the principles of natural selection, GA mimics the process of evolution, wher the fittest individuals are selected to produce offspring.

Fitness function: Evaluate the fitness of each chromosome, which is the objective function we want to optimize. The fitness function is the key to the success of GA, it will determine the selection of the chromosomes. And also the fitness function is the unique part of the problem we want to solve.
Crossover: this step is to combine the genetic material of two parents to produce offspring. The crossover can be done in many different ways, the most common one is single-point crossover.

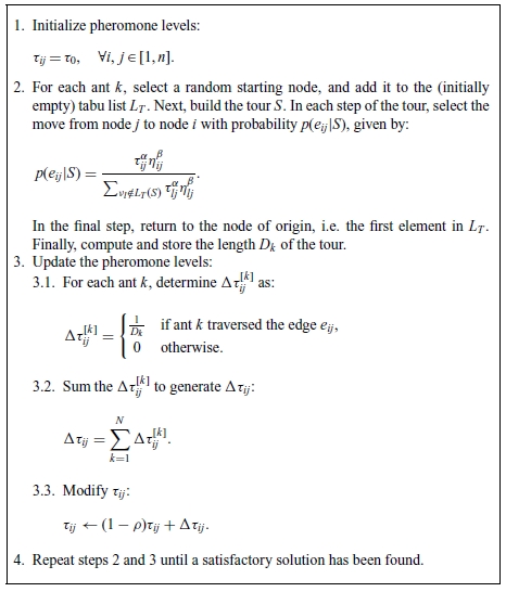
Modeled after the behavior of real-world ants finding the shortest paths to food. Ants will choose the path with the strongest pheromones with high probability, but also explore new paths with low probability.
And the problem being solved is not necessarily the shortest path problem, it can be any optimization problem, just need to disign the logical data strutcture of the problem to be like a graph.

Initialization: We usually initialize model the system as a graph, and will initialize the pheromones on the edges of the graph.
Probabilistic Path Selection: in step2, ants will choose a edge base on the probability. $\tau _{ij}$ denote the pheromone on the edge $i$ to $j$, $\eta _{ij}$ denote the heuristic information, which is the inverse of the distance between the two nodes. $\alpha$ and $\beta$ are the parameters to control the importance of the pheromone and the heuristic information. So the probability of choosing the edge $i$ to $j$ is $ \frac{\text{pheromones} \cdot \text{heuristic information}}{\sum \text{pheromones} \cdot \text{heuristic information}}$
Pheromone Update: in step3, after an ant has finished the tour, we will update the pheromones on the edges it has traversed and store the pheromone into $\Delta \tau ^k$ . After all ants finish their journey, the pheromone update like $\tau _{ij} = (1-\rho) \cdot \tau _{ij} + \Delta \tau _{ij}$, where $\rho$ is the evaporation rate, and $\Delta \tau _{ij}$ is the pheromone the ant has left on the edge $i$ to $j$ by summing all the $\Delta \tau ^k$ of all the ants that has traversed the edge $i$ to $j$.
Inspired by the social behavior of bird flocks or fish schools. Each particle(individual) adjusts its position based on its personal best, the global best, and a random factor to search the solution space.

Initialization: Initialize the position and velocity of each particle. Randomly distribute the particles in the solution space.
Update Velocity: In each iteration, update the position and velocity of each particle based on the formula 4.1, Two key concepts would be personal best and swarm best, personal best is the best position the particle has ever reached, and swarm best is the best position the whole swarm has ever reached. And the updated velocity is the combination of the personal best, swarm best, and a random factor.
Each particle adjusts its position based on:
The power of stochastic optimization lies in its rules and guided randomness. Algorithms like GA, ACO, and PSO use randomness to explore, but they are driven by well-crafted rules that ensure efficiency and effectiveness.
Genetic Algorithms (GA): Mimics the process of evolution by modeling the solution as a chromosome. And introduce randomness by mutation and crossover, guided by the fitness function to choose the best individuals and form new individuals.
Ant Colony Optimization (ACO) : Modeled after the behavior of real-world ants finding the shortest paths to food, and introduce randomness by probabilistic path selection, guided by the pheromones on the edges of the graph.
Particle Swarm Optimization (PSO): Inspired by the social behavior of bird flocks or fish schools, and introduce randomness by updating the velocity of each particle, guided by the personal best, swarm best, and a random factor.